
PDF Publication Title:
Text from PDF Page: 006
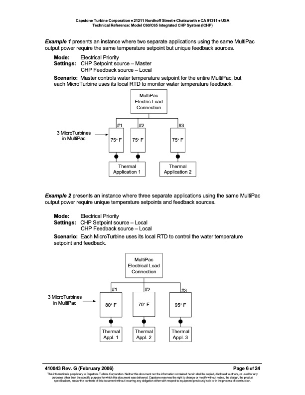
Capstone Turbine Corporation • 21211 Nordhoff Street • Chatsworth • CA 91311 • USA Technical Reference: Model C60/C65 Integrated CHP System (ICHP) Example 1 presents an instance where two separate applications using the same MultiPac output power require the same temperature setpoint but unique feedback sources. Mode: Electrical Priority Settings: CHP Setpoint source – Master CHP Feedback source – Local Scenario: Master controls water temperature setpoint for the entire MultiPac, but each MicroTurbine uses its local RTD to monitor water temperature feedback. #2 #3 3 MicroTurbines in MultiPac Example 2 presents an instance where three separate applications using the same MultiPac output power require unique temperature setpoints and feedback sources. Mode: Electrical Priority Settings: CHP Setpoint source – Local CHP Feedback source – Local Scenario: Each MicroTurbine uses its local RTD to control the water temperature setpoint and feedback. MultiPac Electric Load Connection #1 75° F 75° F 75° F Thermal Application 1 Thermal Application 2 MultiPac Electrical Load Connection 3 MicroTurbines in MultiPac 80° F #1 #2 #3 70° F 95° F Thermal Appl. 1 Thermal Appl. 2 Thermal Appl. 3 410043 Rev. G (February 2006) Page 6 of 24 This information is proprietary to Capstone Turbine Corporation. Neither this document nor the information contained herein shall be copied, disclosed to others, or used for any purposes other than the specific purpose for which this document was delivered. Capstone reserves the right to change or modify without notice, the design, the product specifications, and/or the contents of this document without incurring any obligation either with respect to equipment previously sold or in the process of construction.PDF Image | Technical Reference Model C60/C65Integrated CHP System (ICHP)
PDF Search Title:
Technical Reference Model C60/C65Integrated CHP System (ICHP)Original File Name Searched:
410043_ICHP_Tech_Ref.pdfDIY PDF Search: Google It | Yahoo | Bing
Capstone Turbine and Microturbine: Capstone microturbines used and new surplus for sale listing More Info
Consulting and Strategy Services: Need help with Capstone Turbine, sizing systems, applications, or renewable energy strategy, we are here to assist More Info
Container Lumber Dry Kiln: Since 1991 developing and innovating dry kilns using standard shipping containers More Info
Supercritical CO2 Lumber Dry Kiln: Compact fast drying in 3 days or less for small amounts of wood and lumber drying More Info
BitCoin Mining: Bitcoin Mining and Cryptocurrency... More Info
Publications: Capstone Turbine publications for microturbine and distributed energy More Info
FileMaker Software for Renewable Energy Developing database software for the renewable energy industry More Info
CO2 Gas to Liquids On-Demand Production Cart Developing a supercritical CO2 to alcohol on-demand production system (via Nafion reverse fuel cell) More Info
Stranded Gas for low cost power Bitcoin Mining Using stranded gas for generators may provide breakthrough low power costs for cryptocurrency miners. More Info
| CONTACT TEL: 608-238-6001 Email: greg@globalmicroturbine.com | RSS | AMP |