
PDF Publication Title:
Text from PDF Page: 077
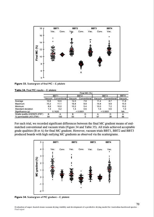
18 BBT1 V ac . 16 14 12 10 8 6 4 Conv. BBT2 V ac . Conv. BBT3 V ac . Conv. BBT4 V ac . Figure 33. Scattergram of final MC – E. pilularis Table 34. Final MC results – E. pilularis BBT1 Vacuum Conventional 10.8 10.5 15.2 11.1 8.8 10.0 1.3 0.2 0.1620 B A 94 100 Final MC (%) BBT4 Vacuum 11.8 15.5 10.2 1.0 NA A 96 BBT2 BBT3 Vacuum Conventional Vacuum Conventional 12.0 7.8 16.8 8.8 10.2 5.4 1.4 0.6 < 0.0001 11.4 8.7 14.8 9.9 10.0 7.2 1.0 0.6 < 0.0001 BD 93 0 AD 97 38 Average Maximum Minimum Standard deviation Significance (p) Grade quality (AS/NZS 4787 ) % permissible (AS 2796 ) For each trial, we recorded significant differences between the final MC gradient means of end- matched conventional and vacuum trials (Figure 34 and Table 35). All trials achieved acceptable grade qualities (B or A) for final MC gradient. However, vacuum trials BBT1, BBT2 and BBT3 produced boards with high outlying MC gradients as observed via the scattergrams. 5 BBT1 4 V ac . 3 2 1 0 -1 -2 Conv. BBT2 V ac . Conv. BBT3 V ac . Conv. BBT4 V ac . Figure 34. Scattergram of MC gradient – E. pilularis Evaluation of super–heated steam vacuum drying viability and development of a predictive drying model for Australian hardwood species – Final report 70 MC gradinet (%) Final MC (%)PDF Image | Evaluation of super-heated steam vacuum drying
PDF Search Title:
Evaluation of super-heated steam vacuum dryingOriginal File Name Searched:
PN08_2047_Vacuum_Drying_Reviewed_Report.pdfDIY PDF Search: Google It | Yahoo | Bing
5,000 BF Shipping Container Lumber Dry Kiln For Quality Lumber The 5,000 BF container kiln consists of one 40 foot high-cube aluminum shipping container... More Info
Shipping Container Lumber Dry Kilns by Global Energy Global Energy designed and developed the container kiln back in 1991. The purpose is to give access to portable sawmill owners, furniture makers, and small business the value added profit of dry kiln lumber and quality hardwoods... More Info
Vacuum Kiln Conversion Kit for Lumber and Wood Dry Kilns Convert your existing conventional dry kiln into a fast drying vacuum kiln. Similar to vacuum bagging in the boat building and aircraft industry, we have come up with a proprietary process which allows you to build a very simple vacuum kiln at a fraction of the price, and without the intensive conventional metal chamber structure... More Info
Vacuum Pump Cart System for Bagging Clamping Wood Drying and more Vacuum Cart with 2HP Pump and Dual Pistons with multiple multiplex vacuum ports and liquid reservoir... More Info
Vacuum Bagging Basics Vacuum bagging is a method of clamping, which has traditionally been used in the composites industry, but can also be used for vacuum drying materials, including wood products... More Info
| CONTACT TEL: 608-238-6001 Email: greg@globalmicroturbine.com | RSS | AMP |