logo

Combined Heat and Power Technologies for Wastewater Facilities

PDF Publication Title:

Combined Heat and Power Technologies for Wastewater Facilities ( combined-heat-and-power-technologies-wastewater-facilities )

Previous Page View | Next Page View | Return to Search List

Text from PDF Page: 039

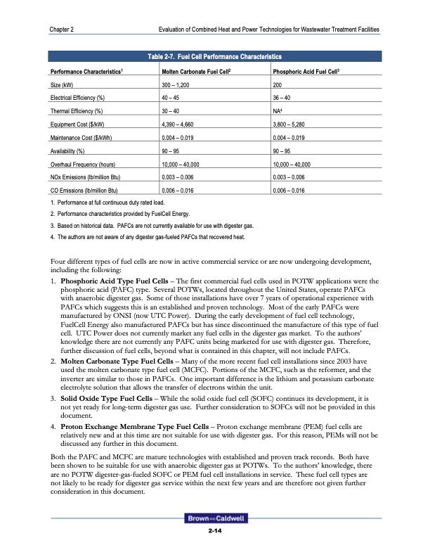
Chapter 2 Evaluation of Combined Heat and Power Technologies for Wastewater Treatment Facilities Table 2-7. Fuel Cell Performance Characteristics Performance Characteristics1 Size (kW) Electrical Efficiency (%) Thermal Efficiency (%) Equipment Cost ($/kW) Maintenance Cost ($/kWh) Availability (%) Overhaul Frequency (hours) NOx Emissions (lb/million Btu) CO Emissions (lb/million Btu) Molten Carbonate Fuel Cell2 300 – 1,200 40–45 30–40 4,390 – 4,660 0.004 – 0.019 90–95 10,000 – 40,000 0.003 – 0.006 0.006 – 0.016 Phosphoric Acid Fuel Cell3 200 36–40 NA4 3,800 – 5,280 0.004 – 0.019 90–95 10,000 – 40,000 0.003 – 0.006 0.006 – 0.016 1. Performance at full continuous duty rated load. 2. Performance characteristics provided by FuelCell Energy. 3. Based on historical data. PAFCs are not currently available for use with digester gas. 4. The authors are not aware of any digester gas-fueled PAFCs that recovered heat. Four different types of fuel cells are now in active commercial service or are now undergoing development, including the following: 1. PhosphoricAcidTypeFuelCells–ThefirstcommercialfuelcellsusedinPOTWapplicationswerethe phosphoric acid (PAFC) type. Several POTWs, located throughout the United States, operate PAFCs with anaerobic digester gas. Some of those installations have over 7 years of operational experience with PAFCs which suggests this is an established and proven technology. Most of the early PAFCs were manufactured by ONSI (now UTC Power). During the early development of fuel cell technology, FuelCell Energy also manufactured PAFCs but has since discontinued the manufacture of this type of fuel cell. UTC Power does not currently market any fuel cells in the digester gas market. To the authors’ knowledge there are not currently any PAFC units being marketed for use with digester gas. Therefore, further discussion of fuel cells, beyond what is contained in this chapter, will not include PAFCs. 2. MoltenCarbonateTypeFuelCells–Manyofthemorerecentfuelcellinstallationssince2003have used the molten carbonate type fuel cell (MCFC). Portions of the MCFC, such as the reformer, and the inverter are similar to those in PAFCs. One important difference is the lithium and potassium carbonate electrolyte solution that allows the transfer of electrons within the unit. 3. SolidOxideTypeFuelCells–Whilethesolidoxidefuelcell(SOFC)continuesitsdevelopment,itis not yet ready for long-term digester gas use. Further consideration to SOFCs will not be provided in this document. 4. ProtonExchangeMembraneTypeFuelCells–Protonexchangemembrane(PEM)fuelcellsare relatively new and at this time are not suitable for use with digester gas. For this reason, PEMs will not be discussed any further in this document. Both the PAFC and MCFC are mature technologies with established and proven track records. Both have been shown to be suitable for use with anaerobic digester gas at POTWs. To the authors’ knowledge, there are no POTW digester-gas-fueled SOFC or PEM fuel cell installations in service. These fuel cell types are not likely to be ready for digester gas service within the next few years and are therefore not given further consideration in this document. 2-14

PDF Image | Combined Heat and Power Technologies for Wastewater Facilities

combined-heat-and-power-technologies-wastewater-facilities-039

PDF Search Title:

Combined Heat and Power Technologies for Wastewater Facilities

Original File Name Searched:

300_CHP-EPA-w-Apps.pdf

DIY PDF Search: Google It | Yahoo | Bing

Capstone Turbine and Microturbine: Capstone microturbines used and new surplus for sale listing More Info

Consulting and Strategy Services: Need help with Capstone Turbine, sizing systems, applications, or renewable energy strategy, we are here to assist More Info

Container Lumber Dry Kiln: Since 1991 developing and innovating dry kilns using standard shipping containers More Info

Supercritical CO2 Lumber Dry Kiln: Compact fast drying in 3 days or less for small amounts of wood and lumber drying More Info

BitCoin Mining: Bitcoin Mining and Cryptocurrency... More Info

Publications: Capstone Turbine publications for microturbine and distributed energy More Info

FileMaker Software for Renewable Energy Developing database software for the renewable energy industry More Info

CO2 Gas to Liquids On-Demand Production Cart Developing a supercritical CO2 to alcohol on-demand production system (via Nafion reverse fuel cell) More Info

Stranded Gas for low cost power Bitcoin Mining Using stranded gas for generators may provide breakthrough low power costs for cryptocurrency miners. More Info

CONTACT TEL: 608-238-6001 Email: greg@globalmicroturbine.com | RSS | AMP